合作客戶/
拜耳公司 |
同濟大學 |
聯合大學 |
美國保潔 |
美國強生 |
瑞士羅氏 |
相關新聞Info
推薦新聞Info
-
> 不同礦漿濃度、粒度、伴生礦物、捕收劑和起泡劑對礦漿表面張力的影響(三)
> 不同礦漿濃度、粒度、伴生礦物、捕收劑和起泡劑對礦漿表面張力的影響(二)
> 不同礦漿濃度、粒度、伴生礦物、捕收劑和起泡劑對礦漿表面張力的影響(一)
> 長慶油田隴東地區的CQZP-1助排劑表/界面張力測量及現場應用(三)
> 長慶油田隴東地區的CQZP-1助排劑表/界面張力測量及現場應用(二)
> 長慶油田隴東地區的CQZP-1助排劑表/界面張力測量及現場應用(一)
> 液膜斷裂點與電壓最大值在表面張力測量中的對比研究(二)
> 液膜斷裂點與電壓最大值在表面張力測量中的對比研究(一)
> ?表面張力與表面張力系數測量:概念、方法與科學意義
> 微重力下二極對非均勻旋轉磁場控制半浮區液橋表面張力對流的數值研究(下)
氣-水界面脂質單分子層結構域間的偶極相互作用【下】
來源:上海謂載 瀏覽 1842 次 發布時間:2022-07-11
3、結果和討論
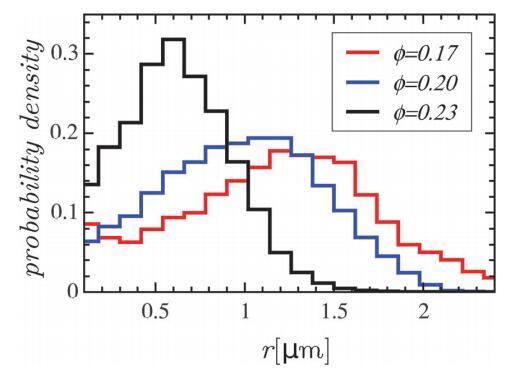
我們分析了三種不同面積分數的DSPC:DMPC組成的單分子膜。我們使用純水子相、10 mN m-1側壓力和DSPC mol%:40、50和60。每個單層的代表性顯微照片如圖3所示。單分子膜以12.1幀/秒的速度拍攝100秒,同時域發生布朗運動,單分子膜發生漂移,從而能夠對其不同區域進行成像。使用實驗部分中描述的過程計算每個幀的冷凝面積分數。然后,從平均值中獲得f值。根據幀面積a和顯微照片中的域數n,計算出數密度r=n/a。所考慮系統的f和r值如表1所示。域半徑分布由假設為圓形域的域大小(面積)確定。相應的直方圖如圖4所示,平均半徑%R如表1所示。
在單分散模型中,面積分數、數密度和域半徑不是獨立的量。由于f和r的計算比平均半徑更為直接,我們根據這些量確定有效半徑為Reff=(f/(pr))1/2。注意,由于Reff等于半徑分布二階矩的平方根,該半徑與平均域半徑略有不同(見表1)。
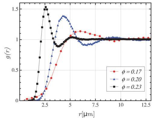
圖5顯示了三個實驗系統的徑向分布函數。在所有情況下,g(r)類似于液體,顯示出明確的第一峰(在rmax處),其表征了第一配位殼層,即最近鄰。此外,對于f=0.20和f=0.23的系統,觀察到與第二配位殼對應的標記的第一最小值和第二最大值。由于“強”排斥作用,最近鄰距離遠大于平均磁疇直徑。因此,硬核斥力不是結構的決定因素,系統的特征長度是平均幾何距離rm=r 1/2。
圖3:DSPC/DMPC與(a)40、(b)50和(c)60 mol%DSPC的混合單分子膜。放大區尺寸為2525 mm2。
表1考慮的單分子膜的凝聚面積分數、數密度、平均半徑和有效半徑。誤差由標準差確定,但f除外,f是通過改變閾值確定的,如實驗部分所述
圖4具有不同凝聚面積分數的單分子膜的域半徑分布。
圖5所分析的三個系統的實驗徑向分布函數g(r)。誤差條小于符號大小。這些線是眼睛的向導。
為了計算偶極斥力sffi ep,我們通過改變相互作用強度f0將BD g(r)擬合到實驗值。通過匹配第一個峰值的高度來選擇最佳擬合。由于磁疇尺寸的多分散性,實驗g(r)通常具有較寬的第一峰值和較淺的第一最小值。因此,我們使用第一個峰值高度作為擬合標準,而不是擬合整個曲線。
圖6使用偶極密度相互作用通過實驗和BD模擬獲得的徑向分布函數。為了清晰起見,數據已垂直移動。
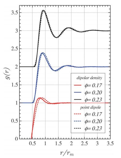
圖6顯示了實驗g(r)與具有全偶極密度相互作用的BD模擬的比較,等式(4)。這里,為了方便起見,通過平均幾何距離rm來縮放距離r。對于實驗g(r),我們從最匹配BD g(r)峰值位置的90%置信區間中選擇rm值。總的來說,我們觀察到實驗和模擬之間的顯著一致性。模擬結果高估了第一個最小深度,低估了第一個峰值寬度。這兩種差異可能歸因于多分散性效應,在我們的BD模擬中沒有考慮到。
由于實驗g(r)的相對誤差較小,以及BD g(rmax)對相互作用強度的靈敏度,由在固定f處匹配第一峰值高度組成的擬合過程在f0中通常具有2%的不確定性。然而,在確定f0、Df0的誤差時,需要考慮實驗面積分數的不確定性Df。因此,我們分別用面積分數f±Df對兩個不同的系統重復了擬合過程。根據獲得的f0值,我們估計了f、(Df0)Df的不確定性對Df0的貢獻,其結果通常為15%。作為r/rm的函數獲得的BD g(r)與圖6中所示的幾乎不可區分。
在模擬中,f0以kBT/Reff為單位,這是因為Reff是距離單位,kBT是能量單位。因此,在用物理單位表示f0時,必須考慮T和Reff的不確定性。然而,經過誤差分析,我們發現Df0僅由(Df0)Df的貢獻決定。
確定f0后,我們計算偶極斥力為:
對于所研究的系統,表2中總結了sffi ep的值,其中不確定性是根據上述Df0確定的。
表2模擬單元和物理單元中的相互作用強度f0,以及分析系統的偶極斥力sffi pe

為了比較使用其他實驗技術獲得的偶極密度,需要單層em的相對介電常數值。在文獻中,有不同的方法來描述單層的介電常數,并且發現了廣泛的值。2,17,25–33
因此,我們傾向于使用s/em量與其他實驗進行比較。為了在擬議方案中獲得該數量,我們使用e*e em2/2,因為ew c ea,這導致s/em=(0.4±0.1)10 12 c m-1,(0.8±0.1)10 12 c m-1和(1.0±0.1)10 12 c m-1分別用于f=0.17、0.21和0.23的單層。
我們測量了兩個均勻單分子膜中的表面電位DV;一個在LE相,另一個在LC相,兩者的DSPC比例與分析實驗中相同,如實驗部分所述。對于純LC相位和純LE相位,我們分別獲得了DVLC=(555±12)mV和DVLE=(402±8)mV。對于具有相同34和不同35亞相的單層和雙層,這些值與先前的結果一致。36
使用平行板電容器模型,9可以通過方程s=D(DV)e0em,27從表面電位差D(DV)=DVLC-DVLE獲得多余偶極密度,其中假設兩相中的相對介電常數值相同。從該模型獲得的偶極斥力為sc/em=(1.3±0.2)?10 12 C m-1,與使用本文提出的方法獲得的結果一致。
我們觀察到,除了f=0.17的單層外,偶極斥力s ffi ep的值無法區分。這可以歸因于這樣一個事實,即這種單分子膜具有較大的尺寸色散,并呈現出與雙峰分布兼容的特征。一般來說,單峰尺寸多分散性影響g(r)的峰高和寬度,而對于更復雜的尺寸分布,這些影響是顯著的,并最終可能導致第一個峰的分裂。特別是,對于f=0.17的單層,這些效應導致了以下事實:使用單分散模型獲得的擬合g(r)代表的是相互作用小得多的系統。因此,擬合過程導致s ffi ep的值被低估。
3.1、作為確定域間偶極斥力工具的域徑向分布:工作曲線
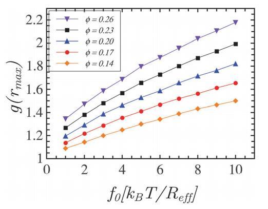
為了獲得一系列面積分數和相互作用強度的偶極斥力,我們進行了模擬,并分析了g(rmax)對f和f0的依賴性。
圖7顯示了面積分數的五個代表值的g(rmax)作為f0的函數,單位為kBT/Reff。
這些結果可用于在不進行模擬的情況下從實驗中估計sffi ep。為此,首先確定f、r和g(r),然后計算g(rmax)和Reff,最后使用圖7獲得f0。注意,r的值僅用于計算REF,需要用物理單位表示f0。
3.2、點偶極子近似
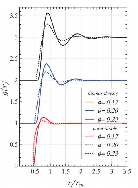
域相互作用的一個簡單近似是將每個域視為具有排除體積的點偶極子。6,37該方案的優點是具有相互作用力的簡單解析表達式,即eqn(7),因此比全偶極密度相互作用更容易實現。為了評估該近似在所考慮的面積分數范圍內的有效性,我們系統地研究了點偶極系統的結構特性,并將其與相應的偶極密度系統進行了比較。圖8顯示了使用相同參數集[f,f0,r]的兩種方案的g(r)。可以清楚地觀察到,點偶極子近似不能正確地表示結構;在所有情況下,它都低估了配對相關性。我們發現,如果將點偶極子模型的f0視為有效相互作用強度f p0,并調整以匹配偶極密度g(r)的第一峰值高度,則可以實現良好的一致性。圖9顯示了前一節中分析的三個系統。
圖7徑向分布函數g(rmax)的最大值作為相互作用強度f0的函數。該關系可用于從實驗值g(rmax)獲得偶極斥力sffi pe。誤差條小于符號大小。這些線是眼睛的向導。
圖8使用偶極密度和點偶極相互作用從BD模擬中獲得的徑向分布函數。對于每個面積分數,兩種模型的f0值相同,如表2所示。為了清晰起見,數據已垂直移動。
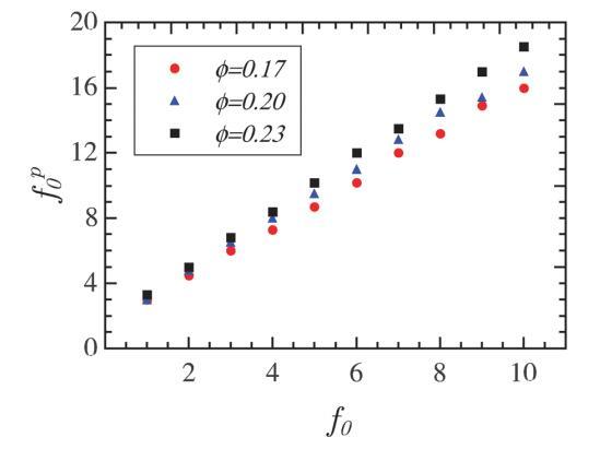
圖9使用偶極密度和點偶極相互作用從BD模擬中獲得的徑向分布函數。選擇點-偶極相互作用強度f p0,使偶極密度模型的相應g(rmax)與表2中的參數相匹配。當f=0.17、0.20和0.23時,得到的f p0值分別為3.0、6.6和8.2[kBT/Reff]。為了清晰起見,數據已垂直移動。
圖10點偶極子近似的有效相互作用強度f p0與相互作用強度f0。誤差條小于符號大小。
在第一個峰值位置和g(r)開始偏離零的小區域觀察到輕微差異。當系統更加結構化時,協議會得到改善。特別是,對于弱相互作用域,差異開始明顯。這些偏差是由于點偶極力在接觸時趨于有限值,而在偶極密度情況下,它會發散。因此,硬盤相互作用與點偶極子模型有關。
正如預期的那樣,f p0總是大于f0。因此,即使取得了良好的一致性,用點偶極子模型擬合實驗數據也會導致偶極斥力的高估值。對于f=0.20,擬合f p0=6.6Reff/(kBT)的單層,將產生偶極斥力sffi pe?1:610 12C m-1,比使用全偶極密度模型計算的值大45%(見表2)。
由于點偶極子模型的簡單性,值得尋找兩個模型之間的對應關系。為此,我們確定了一組f0在三個不同面積分數下的有效相互作用強度f p0。對于感興趣的參數范圍,可以在圖10中看到f p0和f0之間的關系。該圖有助于選擇適當的f p0,以便通過僅基于更簡單的點偶極子模型進行模擬來計算單層的結構特性。或者,如果實驗對相關函數由點偶極子近似建模,則sffi ep的值可以使用根據該圖估計的相應f0計算。
4、結論
在本研究中,使用布朗動力學模擬從實驗徑向分布函數計算混合單層中的域間偶極斥力。將磁疇建模為具有恒定偶極密度的單分散盤,并通過蒙特卡洛積分獲得其配對相互作用。我們發現實驗和模擬對于單分子膜的結構有很好的一致性,其中sffi-pe被用作擬合參數。分析了具有三種不同冷凝面積分數的混合單分子膜。
除f=0.17的實驗外,sffi ep的值無法區分。這一發現與以下事實一致:所研究的單分子膜位于凝聚面積分數區域,其中杠桿規則有效,5,因此預計s不依賴于f。
此外,獲得的偶極斥力與使用平行板電容器模型獲得的偶極斥力具有相同的數量級。
從f=0.17的實驗中獲得的偶極斥力值較低。這可以歸因于這樣一個事實,即該單層具有廣泛的非單峰尺寸分布,其影響在模擬中未被考慮。這里,為了簡單起見,我們將域建模為單分散盤,而實驗單分子膜顯示了大小分布。眾所周知,由于對不同粒徑進行平均,該假設導致配對相關函數“軟化”。38預計這些影響是相關的,尤其是當尺寸分布呈現復雜結構或具有較大差異時。在我們的方案中包含多分散性是可行的,并留作將來的工作。
我們系統地研究了g(rmax)與相互作用強度和面積分數的關系。結果總結在圖7中,可以用作工作曲線,直接從實驗數據估計sffi pe,而無需對研究的參數范圍進行任何模擬。
我們還研究了點偶極子模型,以探討其作為偶極密度模型近似值的有效性。通過分析徑向分布函數,我們發現點偶極子模型嚴重低估了結構。然而,如果將點偶極子強度視為擬合參數,即有效相互作用強度,則可以實現良好的一致性。對于不同的面積分數,我們確定了f0的廣泛范圍內的f p0。模型之間的這種關系允許使用更簡單的點偶極模型來計算具有已知偶極斥力的單層的結構,并從實驗g(r)中獲得偶極斥力。
我們得出結論,從實驗對相關函數估計sffi ep的擬議程序是傳統方法的替代方法,其優點是只需要單層顯微照片。
所提出的方法不僅可用于二元脂質單分子膜,還可用于單組分單分子膜和更復雜的單分子膜(例如從分離膜制備的單分子膜,即與細胞膜的所有原始組分一起制備的單分子膜),還可用于雙分子層,當域僅存在于一個半分子層中且半分子層未偶聯或松散偶聯時,假設可以獲得時間平均的徑向分布,并且主要的相互作用對應于偶極排斥產生的相互作用。其他功能形式也可以以與此處所示類似的方式進行探索。
致謝
作者感謝CONICET和SeCyT UNC的財政支持。ERF感謝S.Ceppi的富有成果的討論。





