合作客戶/
拜耳公司 |
同濟大學 |
聯合大學 |
美國保潔 |
美國強生 |
瑞士羅氏 |
相關新聞Info
推薦新聞Info
-
> 不同礦漿濃度、粒度、伴生礦物、捕收劑和起泡劑對礦漿表面張力的影響(三)
> 不同礦漿濃度、粒度、伴生礦物、捕收劑和起泡劑對礦漿表面張力的影響(二)
> 不同礦漿濃度、粒度、伴生礦物、捕收劑和起泡劑對礦漿表面張力的影響(一)
> 長慶油田隴東地區的CQZP-1助排劑表/界面張力測量及現場應用(三)
> 長慶油田隴東地區的CQZP-1助排劑表/界面張力測量及現場應用(二)
> 長慶油田隴東地區的CQZP-1助排劑表/界面張力測量及現場應用(一)
> 液膜斷裂點與電壓最大值在表面張力測量中的對比研究(二)
> 液膜斷裂點與電壓最大值在表面張力測量中的對比研究(一)
> ?表面張力與表面張力系數測量:概念、方法與科學意義
> 微重力下二極對非均勻旋轉磁場控制半浮區液橋表面張力對流的數值研究(下)
非-陰離子型醇醚磺酸鹽表面活性劑降低魏崗原油的表面張力(二)
來源:精細石油化工 瀏覽 903 次 發布時間:2025-06-20
2.2陰離子與非離子表面活性劑混合溶液的相互作用參數
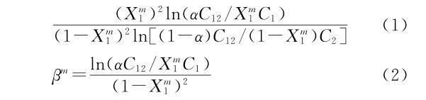
兩種單一表面活性劑混合后會產生相互作用,使得表面活性劑分子在界面上排列更為緊密,表面/界面活性提高,混合膠束也更容易形成。這種相互作用的程度可以通過計算相互作用參數來確定。根據正規溶液理論,Rubingh、Rosen等給出了非理想溶液混合物膠束模型方程用以計算表面活性劑之間的相互作用參數βm。
根據單一表面活性劑以及不同混合比下的CMC,采用公式(1)~(3)計算混合表面活性劑溶液膠團熱力學參數,結果見表2。圖2和圖3分別給出了2種表面活性劑在不同混合比下實際混合和理性混合時膠束濃度以及AEO3S在膠束中的摩爾分數的變化。
表2 AEO3S與LDA混合體系熱力學參數計算
圖2混合溶液中AEO3S摩爾分數對表面張力的影響
圖3溶液中AEO3S摩爾分數與膠束中的摩爾分數關系
由圖2可知,實際混合物的CMC比理想混合物的CMC值低,說明AEO3S與LDA的相互作用導致二元混合物的非理想行為。當混合比m(AEOS)∶m(LDA)為1∶2 ~ 4∶1時,AEOS在溶液中摩爾分數從0.23變化到0.7,相互作用參數βm在-1.2~-2.7之間變化。一般來說,βm反映了混合體系中2個表面活性劑組分在膠束中分子相互作用程度,負的程度越大,相互作用程度越強。β值的正負表明相互作用的類型,βm>0時,表示二組分之間有相互疏遠、排斥的作用。βm<0時,表示混合體系內二組分之間有相互吸引作用,β絕對值的大小則反映出相互作用的程度,|βm|<3說明分子間相互作用較弱。說明分子間存在強烈的相互作用;3<|βm|<10說明分子間存在中等相互作用。由此可見,醇醚磺酸鹽陰離子表面活性劑AEO3S與非離子表面活性劑LDA在鹽水介質中的相互作用程度較弱。另外,二元體系產生協同作用的必須滿足兩個條件[17]:(1)βm<0;(2)|βm|>|ln(C1/C2)|。由表2中實驗數據知AEO3S與LDA混合溶液的熱力學參數均滿足兩個條件,說明二者具有降低CMC的協同作用。
2.3表面活性劑配比以及聚合物對界面活性的影響
采用地層模擬水配制表面活性劑溶液濃度為0.3%,實驗探討了70℃表面活性劑配比對界面張力的影響,實驗結果見圖4。
圖4 AEO3S-LDA體系與魏崗原油的界面張力
由圖4可以看出,單一表面活性劑AEO3S與LDA同魏崗原油的界面張力均在10-1mN/m數量級,當改變混合表面活性劑溶液中AEO3S與LDA質量比為2∶3時,界面張力為0.003 14 mN/m,當質量比為1∶1時界面張力為0.005 23 mN/m,也就是說含有40%~50%AEO3S的混合表面活性劑溶液的界面張力均可達到超低界面張力(10-3mN/m數量級),其他混合比時溶液的界面張力均在10-2mN/m數量級,這就表明AEO3S與LDA具有較好降低界面張力的協同作用。這是由于單一陰離子表面活性劑在油水界面排列時AEO3S分子負離子(—SO3—)基團之間存在著斥力影響了分子排列緊密程度,當加入非離子表面活性劑LDA后,LDA分子插入陰離子表面活性劑AEO3S之間,使得原來的AEO3S離子頭—磺酸基團之間的電性斥力減弱,油水界面電荷密度減少,分子間排列緊密程度增加,使得油水界面張力大幅下降。
為方便后續實驗的描述,將具有較高界面活性的40%AEO3S+60%LDA體系命名為LDAS驅油用復配表面活性劑。
2.4復配表面活性劑濃度對界面張力的影響
由于表面活性劑降低油水界面張力,可提高驅替相的洗油效率,而水溶性聚合物可以提高驅替流體的黏度,進而降低水油流度比,從而使驅油劑具有更大的波及體積[18-19]。因此,常常將表面活性劑與聚合物復配構成二元驅油體系用于提高石油采收率。
實驗固定聚合物濃度0.12%HPAM,改變LDAS用量,70℃下測試驅油體系與原油之間的界面張力,實驗結果見圖5。
圖5 LDAS濃度與界面張力的關系
由圖5可知,無論溶液有無聚合物存在,隨著復配表面活性劑LDAS濃度的增加界面張力呈現先下降而后略有增加的現象。無聚合物時,活性劑LDAS濃度在0.1%~0.4%時界面張力均處于超低界面張力范圍;加入0.12%HPAM后,油水界面張力略有上升,但0.2%和0.3%LDAS溶液與魏崗原油間的界面張力仍然很低,分別為0.003 8 mN/m和0.004 5 mN/m,表明復配表面活性劑體系具有很高的界面活性。
3結論
a.醇醚磺酸鹽AEO3S和月桂酸二乙醇胺(LDA)在地層水中的CMC分別為0.131和0.26 mmol/L,表面張力分別為37.3和30.25 mN/m,兩者混合后溶液的CMC和表面張力均下降,表明兩種表面活性劑的復配有利于降低混合溶液的臨界膠束濃度和表面張力,活性提高。
b.AEO3S與LDA的復配體系在形成膠束上表現出一定協同作用,AEO3S更易于進入混合膠束中。兩者質量比為1∶2和2∶3時相互作用參數最大,CMC和表面張力(γCMC)都較低。
c.以魏崗原油作為內相測試了混合表面活性劑體系的界面活性,復配體系40%~50%AEO3S+60%~50%LDA的界面張力達到10-3mN/m數量級,比單一表面活性劑的界面張力高出2個數量級,表現出良好的界面活性。
d.當m(AEO3S)∶m(LDA)=2∶3時,在0.12%HPAM存在下,0.2%~0.4%復配表面活性劑可以使油水界面張力降到超低值,可用于高凝原油的驅油。





