合作客戶/
拜耳公司 |
同濟大學 |
聯合大學 |
美國保潔 |
美國強生 |
瑞士羅氏 |
相關新聞Info
-
> 納米顆粒間相互作用對界面張力的影響
> 3種典型清水劑對不同原油組分界面穩定性、油滴聚并行為的影響(二)
> Layzer模型與Zufiria模型研究界面張力對Rayleigh-Taylor氣泡不穩定性的影響
> 鹽水溶液中,磺酸型含氟表面活性劑復合體系表、界面張力和潤濕性研究(二)
> 氣體富集、雜質對固-液界面納米氣泡接觸角的影響——結果與討論、結論
> DHSO、AGE、TMHC構建陽離子有機硅表面活性劑DAT防水鎖性能(二)
> 溫度對甜菜堿短鏈氟碳表面活性劑表面張力、鋪展、發泡性能影響(一)
> 藥液表面張力、噴霧方法對霧滴在水稻植株上沉積的影響(二)
> 槐糖脂的屬性:脂肪酸底物和混合比例的影響——摘要、介紹
> 生物表面活性劑優點與應用
推薦新聞Info
-
> 面向高效環保滅火劑的界面張力最小化:短鏈氟碳復配體系的設計與解析(三)
> 面向高效環保滅火劑的界面張力最小化:短鏈氟碳復配體系的設計與解析(二)
> 面向高效環保滅火劑的界面張力最小化:短鏈氟碳復配體系的設計與解析(一)
> 基于連續表面張力模型微觀層面研究凝結顆粒動力學變化規律及能量耗散的影響(四)
> 基于連續表面張力模型微觀層面研究凝結顆粒動力學變化規律及能量耗散的影響(三)
> 基于連續表面張力模型微觀層面研究凝結顆粒動力學變化規律及能量耗散的影響(二)
> 基于連續表面張力模型微觀層面研究凝結顆粒動力學變化規律及能量耗散的影響(一)
> 基于表面張力、Walker沉降等研究3種表面活性劑對低階煤(LRC)潤濕作用的差異(三)
> 基于表面張力、Walker沉降等研究3種表面活性劑對低階煤(LRC)潤濕作用的差異(二)
> 基于表面張力、Walker沉降等研究3種表面活性劑對低階煤(LRC)潤濕作用的差異(一)
低表面張力物系在規整填料塔中的流體力學性能和傳質性能(二)
來源:化工進展 瀏覽 1910 次 發布時間:2024-09-25
2實驗結果及討論
開始實驗時,先調至最大加熱負荷使塔內填料預液泛,再降至固定負荷,待全塔工況基本穩定后精餾2~2.5h。于各個取樣口取樣,同時記錄各個實驗參數的值。調節加熱電壓,改變導熱油的溫度進而改變塔釜蒸汽量,測定不同負荷下的實驗值直至液泛?;亓髁坑少|量流量計測得,填料層壓降由高精度的西門子TDS 4433差壓變送器測得。液相樣品的組成用氣相色譜儀Agilent 7890 A測定。
2.1壓降
正庚烷-甲基環己烷物系在500Y和750Y型規整填料塔中的壓降隨氣相F因子的變化如圖3所示。從圖3可以看出,兩種填料的壓降均隨氣相F因子的增大顯著增加,相同氣相負荷下750Y填料的壓降明顯高于500Y填料。這是由于750Y填料的結構相對500Y更為致密,故壓降也較高。高壓降限制了實驗操作的通量,故500Y操作范圍更廣,在一定負荷范圍內也更穩定。
2.2液泛性能
實驗測定了回流量從小到大直至液泛的流體力學性能和傳質性能,得到了液泛時的實驗數據,給定了操作的極限。圖4(a)為500Y填料塔的全塔傳質效率隨氣相F因子的變化,從圖中可以看出隨F因子的增大,HETP先下降后升高,即填料塔的傳質效率先升高后下降,在氣相F因子為1.8kg0.5/(m0.5·s)附近出現轉折。圖4(b)為750Y填料塔的全塔傳質效率隨氣相F因子的變化,從圖中可以看出隨F因子的增大,HETP變化趨勢與500Y相似,傳質效率先升高后下降,轉折點在F因子等于1.5kg0.5/(m0.5·s)附近。
轉折是由于液泛的發生使填料塔傳質效率下降,由此可以得出500Y規整填料塔的最大F因子Fmax=1.8kg0.5/(m0.5·s);750Y規整填料塔的最大F因子Fmax=1.5kg0.5/(m0.5·s)。對于正庚烷-甲基環己烷物系,500Y填料的泛點氣速為uF=0.98m/s,750Y填料的泛點氣速為uF=0.82m/s。目前預測填料泛點氣速的方法主要有經驗關聯式法和通用關聯圖法。經典的預測泛點氣速的關聯式為貝恩(Bain)-霍根(Hougen)關聯式,即如式(10)。
2.3傳質性能
圖5表示500Y和750Y填料塔HETP值隨氣相F因子的變化。由圖5可以看出,泛點以下,兩種填料的HETP隨氣相F因子的增大而減小,即傳質效率隨氣液相負荷的增加而升高;泛點以上,兩種填料的HETP隨氣相F因子的增大而增大,即傳質效率隨氣液相負荷的增加而降低。這是因為泛點以下,隨氣相負荷的增大,氣相傳質系數和傳質界面積均增大。全回流條件下,液相流速和氣相流速變化一致,氣相負荷增大時,液相負荷也增加,大液量提高了填料的潤濕率,增加了有效傳質界面積;另一方面高氣速增加了液膜的湍動,也會增加有效傳質界面積。
圖6為500Y和750Y填料塔中不同高度填料段HETP隨氣相F因子的變化。高度以填料層底部為基準。如圖6所示,填料段下部傳質效率較高,上部傳質效率下降。這是由于流體分布不均造成的。液相從頂端向下流動時,由于端效應,經過一定高度填料層后液相才能鋪展開,接近均勻分布。而氣相因為受液相流動的影響,在填料塔下端氣相入口段分布比較均勻,在填料段頂端分布不均。從圖6還可以看出填料段中上部的傳質效率波動較大,這是由于在此段填料內流動狀況較為復雜,持液量和傳質面積波動較大。Basden等指出持液量隨塔高并不是恒定的,在一定的氣液相流量下,Mellapak 500Y和MellapakPlus 752Y的持液量隨塔高的變化規律與本文中傳質效率隨塔高的變化規律一致。
2.4傳質性能隨塔高的變化
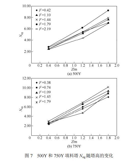
總體積傳質系數Kya是氣相總傳質系數和有效界面積的乘積,直觀反映了塔內傳質的好壞。由式(9)得,氣相流率一定時,測定Nog隨塔高的變化,可以得出氣相總體積傳質系數隨塔高的變化,分析塔內傳質行為。
圖7為500Y和750Y填料塔中Nog隨塔高的變化。由圖7(a)可以看出,大多數情況下500Y填料塔中Nog隨塔高的變化為一條直線,即總體積傳質系數沿塔高不發生變化。這是因為在適宜的操作范圍內,塔內流動狀態比較穩定,氣相負荷一定時,氣相傳質系數不變。正庚烷-甲基環己烷為純有機物系,表面張力中性體系,塔內形成的微弱的正表面張力梯度有利于液膜的穩定,從而使有效傳質面積保持恒定。由此可以推測,對有機負體系而言,負的表面張力梯度會引起液膜沿流動方向不斷破碎,造成有效傳質面積的減小,因此Kya隨塔高下降不斷降低。這與耿皎等[18]在直徑為30mm的玻璃精餾塔中選用正體系庚烷-甲苯和負體系苯-庚烷的精餾實驗得到的結論一致。從圖7(a)可得當氣相負荷過小或過大時,500Y填料塔中Nog隨塔高的變化并不是一條直線,這說明總體積傳質系數Kya沿塔高發生變化。當氣相負荷很小時,總體積傳質系數Kya沿氣相流動方向減?。划敋庀嘭摵珊艽髸r,總體積傳質系數Kya沿液相流動方向減小。當流體流量過高或過低時,塔內流動狀態極不穩定,過低的氣相負荷,使氣相傳質系數沿氣相流動方向減小、氣液相接觸減弱,即表現為總體積傳質系數Kya隨塔高增加而減??;而過大的氣相負荷,引起液泛,液體積聚在塔上部很難流下,使沿液相流動方向液相傳質系數減小、氣液相接觸減弱,即表現為總體積傳質系數Kya隨塔高降低而減小。對比圖7(a)和7(b)可得,750Y填料塔中總體積傳質系數Kya隨塔高的變化規律與500Y填料塔一致。
2.5相同氣相負荷下傳質性能的差異
實驗為確定傳質效率的轉折點,在氣相負荷F=1.8kg0.5/(m0.5·s)附近反復測量多次,發現如下現象。當氣相負荷由小到大變化時同一實驗點測得的傳質效率略低于當氣相負荷由大到小變化時的傳質效率,如圖8所示。傳質效率的差異可能與流動過程中動態接觸角的變化有關。液體流動過程中,液滴與填料之間的接觸角并不是靜態接觸角,液滴沿流動方向上有很強的彎曲界面,形成一個很大的接觸角,這是前進角,其通常大于靜態接觸角;與液滴流動方向相反的拖尾位置處,有一個很小的接觸角,一般來說該接觸角小于靜態接觸角,這是后退角。液體流量對液體的流動狀態有決定性的影響,改變液體流量可以改變液體的局部流動狀態,從而影響填料的持液量,進而影響填料的傳質性能。
3結論
實驗測定了正庚烷-甲基環己烷在Mellapak500Y和750Y型規整填料塔中的流體力學性能和傳質性能。實驗在內徑400mm的不銹鋼精餾塔中進行,測定了氣相負荷從小到大直至液泛的實驗數據,由實驗結果,可以得出以下結論。
(1)在一定負荷范圍內,750Y填料的分離效率優于500Y填料,但單位填料高度的壓降高于500Y填料,導致操作穩定性比500Y填料差,處理量比500Y填料小。
(2)實驗測定了氣相負荷從小到大直至液泛的流體力學性能和傳質性能,得到了液泛時的實驗數據,給定了操作的極限。500Y規整填料塔的最大F因子Fmax=1.8kg0.5/(m0.5·s);750Y規整填料塔的最大F因子Fmax=1.5kg0.5/(m0.5·s)。對于正庚烷-甲基環己烷物系,500Y填料的泛點氣速為uF=0.98m/s,750Y填料的泛點氣速為uF=0.82m/s。并由實驗結果擬合出貝恩(Bain)-霍根(Hougen)關聯式中常數A、K的值。對于500Y填料A=0.291,K=1.75;對于750Y填料A=0.420,K=1.75。
(3)氣相負荷遞增變化時的傳質效率略低于氣相負荷遞減變化時的傳質效率。
(4)在適宜負荷范圍內,對于純有機物系,正體系和中性體系的總體積傳質系數Kya沿塔高不發生變化;負體系的總體積傳質系數Kya隨塔高下降不斷降低。當氣相負荷過低時,總體積傳質系數Kya沿氣相流動方向減??;當氣相負荷過高時,總體積傳質系數Kya沿液相流動方向減小。
符號說明
A——貝恩(Bain)-霍根(Hougen)關聯式關聯常數
at——填料比表面積,m2/m3
F——氣相負荷動能因子,kg0.5/(m0.5·s)
G——氣相摩爾流量,mol/(m2·s)
g——重力加速度,m/s2
Hog——氣相總傳質單元高度,m
HETP——等板高度,m
K——貝恩(Bain)-霍根(Hougen)關聯式關聯常數
Kya——氣相總體積傳質系數,mol/(m3·s)
L——液相摩爾流量,mol/(m2·s)
myx——氣液平衡線斜率
N——理論板數,量綱為1
Nog——液相總傳質單元數,量綱為1
uF——泛點氣速,m/s
x——液相輕組分摩爾分率,量綱為1
xi——各取樣口液相輕組分摩爾分率,i=1,2,3
xb——塔底取樣口液相輕組分摩爾分率,量綱為1
y——氣相輕組分摩爾分率,量綱為1
y*——與液相組成平衡的氣相摩爾分率,量綱為1
Z——填料層高度,m
αm——平均相對揮發度,量綱為1
ε——填料層孔隙率,m3/m3
λ——氣提因子,量綱為1
μL——液體黏度,mPa·s
ρL——液相密度,kg/m3
ρV——氣相密度,kg/m3
ωL——液相質量流量,kg/h
ωV——氣相質量流量,kg/h





