合作客戶/
拜耳公司 |
同濟大學 |
聯合大學 |
美國保潔 |
美國強生 |
瑞士羅氏 |
相關新聞Info
推薦新聞Info
-
> 面向高效環保滅火劑的界面張力最小化:短鏈氟碳復配體系的設計與解析(三)
> 面向高效環保滅火劑的界面張力最小化:短鏈氟碳復配體系的設計與解析(二)
> 面向高效環保滅火劑的界面張力最小化:短鏈氟碳復配體系的設計與解析(一)
> 基于連續表面張力模型微觀層面研究凝結顆粒動力學變化規律及能量耗散的影響(四)
> 基于連續表面張力模型微觀層面研究凝結顆粒動力學變化規律及能量耗散的影響(三)
> 基于連續表面張力模型微觀層面研究凝結顆粒動力學變化規律及能量耗散的影響(二)
> 基于連續表面張力模型微觀層面研究凝結顆粒動力學變化規律及能量耗散的影響(一)
> 基于表面張力、Walker沉降等研究3種表面活性劑對低階煤(LRC)潤濕作用的差異(三)
> 基于表面張力、Walker沉降等研究3種表面活性劑對低階煤(LRC)潤濕作用的差異(二)
> 基于表面張力、Walker沉降等研究3種表面活性劑對低階煤(LRC)潤濕作用的差異(一)
液體表面張力系數的數值計算
來源:吳義彬 瀏覽 2064 次 發布時間:2022-10-31
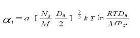
在黃昆先生“表面張力【1】”與“關于韓康琦同志所提意見的說明【2】”等文章的啟示下,推導出了液體表面張力系數的理論公式【3】:
其中N0為阿伏伽德羅數,M為摩爾質量,Dit是液體的密度,Dgt是液體飽和蒸汽的密度,a為與液體種類相關的常量。為驗證(1)式的正確性,對汞、乙醚、水、乙醇等實際液態物質的表面張力系數進行理論計算,并與實驗實測值'相比較,列于下表【3】:
注:表中的
表列數據直接代入下式即可計算出:
表中的數據表明,試探確定各物質的比率常數a值后,由宏觀參量Pgt、Dit、T(物理手冊上的實驗數據)直接按(2)式計算出來的與查表所得到的'相對照,一致性良好。有力地驗證了:不管是單原子分子液體,還是由多原子分子構成的不同性質的液體,在較寬溫度范圍內,理論計算結果都具有良好的準確性與可靠性,具有普遍性意義。
結論:液體表面張力系數的理論公式(1),符合自然運作所遵循的客觀規律。
參考文獻:
[1]黃昆,表面張力,物理通報,1953年4月155頁。
[2]黃昆,關于韓康琦同志所提意見的說明,物理通報,1955年11月702頁。
[3]吳義彬.飽和蒸汽壓下單元液體的物態方程及其應用[J].江西科學,2010,28(5):593.
[4]陸重美。中等物理學手冊[M]。北京:中國青年出版社,1960。
[5](蘇聯)К.П。雅闊夫列夫,黃鏡權,尤烈之(譯)。簡明物理技術手冊(第1卷)[M]。北京:中國工業出版社,1966。
[6]里天。常用物理常數手冊[M]。昆明:云南人民出版社,1983。





