合作客戶/
拜耳公司 |
同濟大學 |
聯合大學 |
美國保潔 |
美國強生 |
瑞士羅氏 |
相關新聞Info
-
> 不同相對兩親面積的Janus顆粒在油氣表面性質和泡沫性能對比(三)
> 固體、鹽溶液表面張力測量及與其在潔凈硅橡膠表面接觸角的關系研究(一)
> 烷基化碳量子點表面活性劑合成改性、表面張力、穩泡及乳化性能(三)
> 不同水解時間的Protamex酶對玉米谷蛋白表面張力、泡沫、理化性質等的影響(三)
> 寶寶出生的越早,肺表面活性物質越少,肺泡缺乏表面張力
> 生物表面活性劑產生菌的篩選及對PAHs污染環境的修復效果研究(三)
> 基于微納米氣泡的井口注氣裝置可改變油水界面張力,提高原油的采收率
> 什么是超微量天平,超微量天平使用方法、最小稱量值
> 乙醇胺與勝坨油田坨28區塊原油5類活性組分模擬油的動態界面張力(一)
> 不同OFP含量的FPUA光固化涂層合成及表面性能研究
推薦新聞Info
-
> 面向高效環保滅火劑的界面張力最小化:短鏈氟碳復配體系的設計與解析(三)
> 面向高效環保滅火劑的界面張力最小化:短鏈氟碳復配體系的設計與解析(二)
> 面向高效環保滅火劑的界面張力最小化:短鏈氟碳復配體系的設計與解析(一)
> 基于連續表面張力模型微觀層面研究凝結顆粒動力學變化規律及能量耗散的影響(四)
> 基于連續表面張力模型微觀層面研究凝結顆粒動力學變化規律及能量耗散的影響(三)
> 基于連續表面張力模型微觀層面研究凝結顆粒動力學變化規律及能量耗散的影響(二)
> 基于連續表面張力模型微觀層面研究凝結顆粒動力學變化規律及能量耗散的影響(一)
> 基于表面張力、Walker沉降等研究3種表面活性劑對低階煤(LRC)潤濕作用的差異(三)
> 基于表面張力、Walker沉降等研究3種表面活性劑對低階煤(LRC)潤濕作用的差異(二)
> 基于表面張力、Walker沉降等研究3種表面活性劑對低階煤(LRC)潤濕作用的差異(一)
釕催化劑合成丁炔二醇醚三硅氧烷表面活性劑反應條件及表面張力測定(一)
來源:北京化工大學學報(自然科學版) 瀏覽 1327 次 發布時間:2025-03-14
摘要
以丁炔二醇乙氧基化物(BEO)和1,1,1,3,5,5,5?七甲基三硅氧烷(MDHM)為原料,在釕催化劑的催化下通過硅氫加成反應合成了丁炔二醇醚三硅氧烷(BEOTSS),并采用紅外光譜(FT-IR)和核磁共振(1H-NMR)技術對BEOTSS結構進行了表征??疾炝朔磻獪囟?、反應時間、原料配比及催化劑用量對MDHM轉化率的影響,并通過正交試驗優化了催化反應條件:催化劑用量為30 mg/kg,n(BEO)∶n(MDHM)為1.05∶1,反應時間為6.0 h,反應溫度為100℃,在此工藝條件下MDHM轉化率可達99%。測定了BEOTSS的界面性能,結果顯示:25℃下0.1%BEOTSS水溶液的表面張力為22.5 mN/m,臨界膠束濃度(CMC)為4.9×10-5 mol/L,表明BEOTSS在濃度很低時可顯著降低水的表面張力,具有優良的表面活性。
引言
表面活性劑廣泛用于水性涂料、油墨、造紙、印染、電子材料、日化等行業,開發具有低表面張力、高潤濕性,同時具備消泡性能的表面活性劑是該領域的主要研究方向。三硅氧烷表面活性劑是一類傘形結構的有機硅表面活性劑,具有較低的表面張力和超級潤濕性,有著廣闊的應用前景。目前國內外對這類表面活性劑的研究重點是烯丙基聚氧乙烯醚改性三硅氧烷,人們對其合成工藝及應用進行了較為深入的研究,并且已有商品生產。但是,此類非離子型改性三硅氧烷存在易水解的缺點,在水溶液中難以長久穩定而喪失表面活性,使得其應用受到限制,此外其消泡性能和流平性能也不夠理想。為了解決這些問題,研究人員將目光轉向開發新型結構的聚醚改性三硅氧烷表面活性劑。
丁炔二醇乙氧基化物(BEO)分子結構中含有炔基和兩個醇羥基,具有低泡和潤濕性好的優點,在涂料工業中可配合三硅氧烷表面活性劑作為潤濕劑和流平劑。由于BEO分子中具有不飽和的炔基,可與七甲基三硅氧烷及含氫聚硅氧烷發生硅氫加成反應,合成具有兩條親水基團的有機硅表面活性劑。所得產物結合了有機硅表面活性劑和炔二醇表面活性劑的優點,在消泡性、潤濕性、耐水解性方面更有優勢,近年來逐漸受到研究者的關注。
三硅氧烷表面活性劑可以在催化劑的作用下通過硅氫加成反應合成,傳統的硅氫加成催化劑主要是鉑催化劑,其中最有效的鉑催化劑是氯鉑酸(Speier催化劑)、[(ViMe2Si)2O]PtCl2(Karstedt’s催化劑),但鉑催化劑價格昂貴,生產成本高,從而限制了其工業應用。釕催化劑相對廉價,具有良好的反應活性、選擇性和穩定性,廣泛用于精細化工、新能源等領域,在工業應用方面更有競爭力。目前,釕催化劑已成功用于硅氫加氫反應,但是還沒有釕催化劑用于催化BEO合成丁炔二醇醚三硅氧烷(BEOTSS)表面活性劑的報道。為此,本文以BEO與1,1,1,3,5,5,5?七甲基三硅氧烷(MDHM)為原料,采用釕催化劑代替傳統的鉑催化劑催化合成了BEOTSS,并采用正交試驗優化了反應條件,最后測定了其界面性能。
1實驗部分
1.1實驗材料與儀器
BEO,工業級,分子式C4H6O2(C2H4O)2,江蘇夢得新材料科技有限公司;MDHM,工業級,浙江潤禾有機硅新材料有限公司;三氯化釕水合物(RuCl3·3H2O),化學純,南京化學試劑股份有限公司;三(三苯基膦)二氯化釕(RuCl2(P(C6H5)3)3),化學純,上海源葉生物科技有限公司;六水合氯鉑酸(H2PtCl6·6H2O)、異丙醇,分析純,西隴科學股份有限公司;超純水,實驗室自制。
Magna-550型傅里葉變換紅外光譜儀(FT-IR),美國Nicolet公司;AvanceⅢ-400型核磁共振波譜儀(NMR),瑞士Bruker公司;表面張力儀,芬蘭Kibron公司;Buchi/R00EL型旋轉蒸發儀,瑞士步琦有限公司;雷磁PHS-3C型pH計,上海精密科學儀器有限公司。
1.2 BEO的活化
稱取一定量的三氯化釕水合物和三(三苯基膦)二氯化釕,分別溶于異丙醇中,配成0.01%(質量分數)的釕催化劑溶液。向具有溫度計、冷凝器、攪拌器和氮氣通入口的250 mL干燥四口燒瓶中加入40 g BEO和100 mL異丙醇,再加入配制好的釕催化劑溶液,用量為30 mg/kg(以MDHM和BEO的總質量為基準,催化劑中釕的質量占比),邊攪拌邊加熱至80℃,活化30 min。
1.3 BEOTSS的合成
BEO與MDHM在釕催化劑的催化下通過硅氫加成反應合成BEOTSS,合成機理如圖1所示。在上述燒瓶中加入一定量的MDHM,繼續通入氮氣,在攪拌下加熱至100℃,反應6 h。通過測定含氫量確定MDHM的轉化率,達到要求后停止反應,冷卻至室溫,將反應物用旋轉蒸發儀進行真空減壓蒸餾,分離出異丙醇溶劑以及未反應的MDHM,得到淡黃色至黃色的透明液體,即BEOTSS。
圖1 BEOTSS的合成機理
1.4 MDHM轉化率的測定
MDHM中的Si—H鍵可被KOH水溶液斷裂而產生氫氣,氫氣中的氫原子分別來自Si—H和KOH,因此反應產生1 mol氫氣需要消耗1 mol MDHM。利用這一特性,可根據反應產物與KOH溶液反應生成氫氣的體積,推算出反應產物中未參與反應的MDHM的量,由此計算MDHM轉化率。
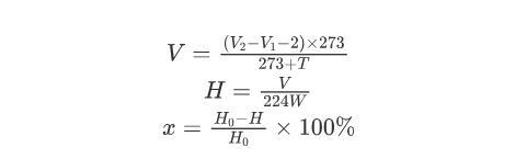
準確稱取0.1~0.5 g樣品加入具支試管中,使用50 mL堿式滴定管作為量氣管,下端連接錐形瓶,上端連接具支試管,堿式滴定管與錐形瓶中裝有蒸餾水。將具支試管用橡膠塞密封,移動錐形瓶使其液面與堿式滴定管液面平行,此時讀取堿式滴定管的刻度。用注射器將2 mL 10%(質量分數)的氫氧化鉀-乙醇液注入樣品中,不斷搖動,放出氫氣,待穩定后,移動錐形瓶使液面與堿式滴定管液面在同一水平處,讀取堿式滴定管的刻度,通過下式計算MDHM轉化率。
式中:V為在1個標準大氣壓、273 K的條件下生成氫氣的體積,mL;V 1為反應前堿式滴定管的讀數,mL;V 2為反應后堿式滴定管的讀數,mL;T為反應溫度,℃;H為反應產物的含氫量,10-2 mol/g;W為樣品質量,g;x為MDHM轉化率;H 0為反應前產物的含氫量,10-2 mol/g。





