合作客戶/
拜耳公司 |
同濟大學 |
聯合大學 |
美國保潔 |
美國強生 |
瑞士羅氏 |
相關新聞Info
-
> 含聚氧丙烯醚陽離子型雙子表面活性劑化學結構式、制備方法
> 溫度、鹽對辛基酚聚氧乙烯醚磺酸鹽的油-水界面行為的影響(一)
> 不同溫度下可溶解聚乙二醇低共熔溶劑的密度、電導率、表面張力等性質(一)
> 壓力、溫度、碳原子數及分子結構對CO2-正構烷烴界面張力的影響——實驗結果與討論
> ?微量化學天平的發展歷程及應用場景
> 表面張力儀與界面張力儀的區別
> 如何準確地測量高粘度涂料的表面張力【親身經歷】
> 納米級復合降凝劑的作用機制、對含蠟原油表面張力的影響
> 無堿的陰離子-非離子表面活性劑界面張力測定及驅油效率評價
> 高鹽油藏下兩性/陰離子表面活性劑協同獲得油水超低界面張力的方法(一)
推薦新聞Info
-
> 面向高效環保滅火劑的界面張力最小化:短鏈氟碳復配體系的設計與解析(三)
> 面向高效環保滅火劑的界面張力最小化:短鏈氟碳復配體系的設計與解析(二)
> 面向高效環保滅火劑的界面張力最小化:短鏈氟碳復配體系的設計與解析(一)
> 基于連續表面張力模型微觀層面研究凝結顆粒動力學變化規律及能量耗散的影響(四)
> 基于連續表面張力模型微觀層面研究凝結顆粒動力學變化規律及能量耗散的影響(三)
> 基于連續表面張力模型微觀層面研究凝結顆粒動力學變化規律及能量耗散的影響(二)
> 基于連續表面張力模型微觀層面研究凝結顆粒動力學變化規律及能量耗散的影響(一)
> 基于表面張力、Walker沉降等研究3種表面活性劑對低階煤(LRC)潤濕作用的差異(三)
> 基于表面張力、Walker沉降等研究3種表面活性劑對低階煤(LRC)潤濕作用的差異(二)
> 基于表面張力、Walker沉降等研究3種表面活性劑對低階煤(LRC)潤濕作用的差異(一)
多相凝聚體系的界面張力計算方法及研究進展
來源:ACS材料X,作者ACS Publications 瀏覽 1109 次 發布時間:2024-11-19
帶相反電荷的聚電解質鏈在溶液中會發生液-液相分離,形成富含高分子的濃相(凝聚相)和幾乎不含高分子的稀相。這類復合凝聚現象與原始細胞模型、無膜細胞器的形成及生物分子的有序組裝結構密切相關,對理解生命體系具有重要意義。在液-液相分離過程中,界面張力是一個極為重要的物理性質,它決定了復合凝聚物的許多基本特征,對多個領域的應用有著決定性影響。
有別于簡單兩組分(聚陰離子與聚陽離子)體系,多組分聚電解質體系會發生多相復合凝聚而出現共存的多個凝聚相,它們形成嵌套型或串珠型等各種多級分層結構,這些結構的形成與生命體系中的分子定位、定向招募相關,也是蛋白質翻譯和核仁應激反應的結構基礎。決定凝聚物體系采取何種多級液滴結構的關鍵因素正是不同共存相間的界面張力。因此,深入研究多相凝聚體系的界面張力具有非常重要的價值。當前理論僅處理簡單兩組分體系形成的稀相與濃相間的界面,多相分離體系的界面張力尚未得到解決。
文章亮點
本文針對靜電作用驅動多組分體系發生的多相凝聚現象,建立了多相界面張力的計算方法,預測了聚電解質鏈帶電量不對稱驅動的三相分離體系所形成的相結構;揭示出最濃相與稀相并不直接接觸,而必須以次濃相作為兩相間的過渡區形成三層嵌套型結構,且外加鹽離子并不會改變三該core-shell結構。這為細胞內以核仁為例的多層嵌套型區室化結構提供了可能的形成機制。
圖文解讀
我們前期的理論研究(ACS Macro Lett.2021,10,1041)表明,兩種具有不同線電荷密度的聚陽離子(A和B)與一種聚陰離子C的三組分溶液能夠發生三相分離形成共存的稀相(I相)、含A/C的凝聚相(II相,最濃相)和含B/C的凝聚相(III相,次濃相)。本文則關注于該代表性的多相凝聚體系的界面張力性質。
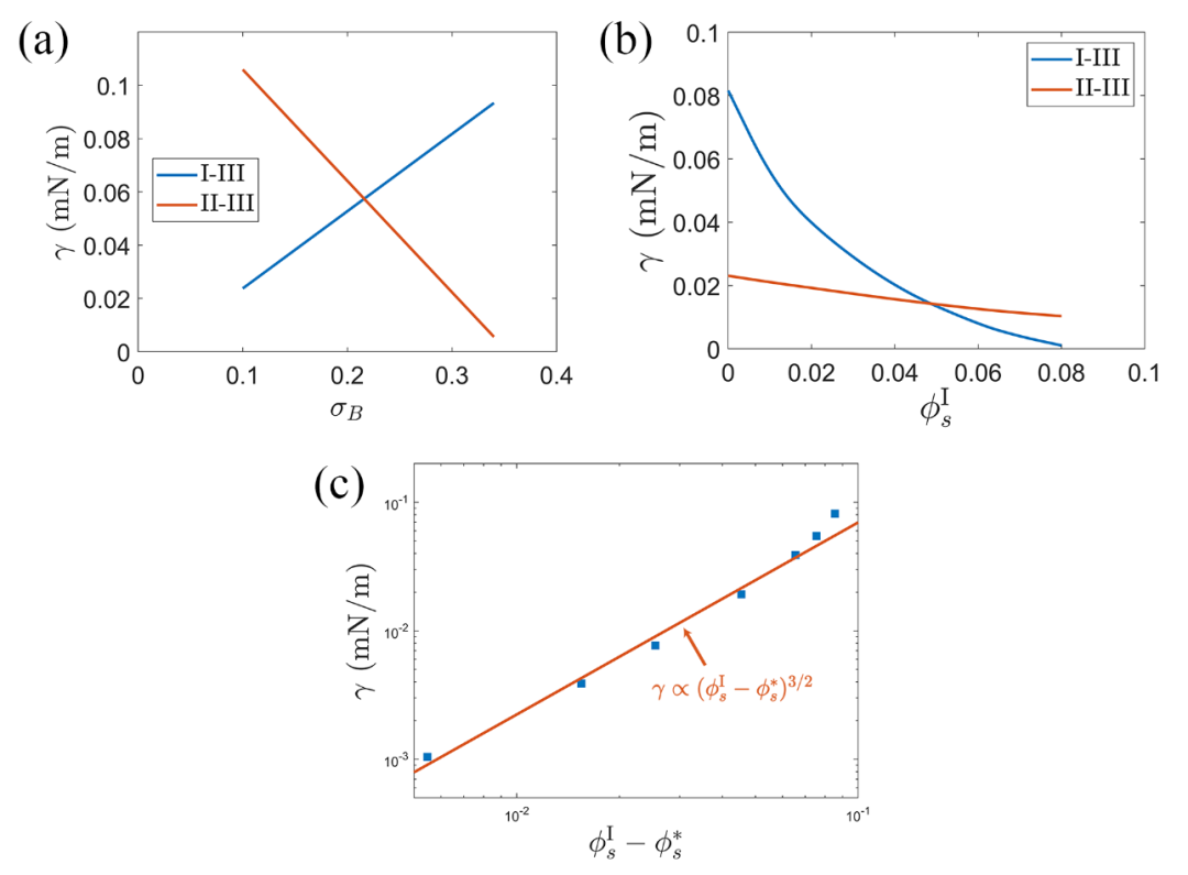
對于I-III相界面與II-III相界面,隨著A/B鏈間線電荷密度差異的降低,A、B鏈之間由靜電關聯作用帶來的有效排斥減弱,I-III相之間的界面張力增加而II-III相之間的界面張力減小。增加鹽離子濃度,靜電屏蔽作用增強,聚電解質復合凝聚的驅動力減弱,因此I-III相與II-III相之間的界面張力將降低。在接近導致不發生相分離的臨界鹽濃度時,I-III相界面張力與鹽濃度遵循3/2的標度關系。
圖1.(a)I-III相與II-III相間的界面張力隨B鏈線電荷密度σB變化的曲線。(b)I-III相與II-III相間的界面張力隨外加鹽離子濃度變化的曲線。(c)接近臨界鹽時I-III相界面張力與鹽濃度之間的標度關系。
對于I-II相之間的界面,各物種密度分布曲線呈現出復雜的計算結果。濃度分布曲線的對比(圖2)顯示,在左側I相的體相濃度區域與右側II相的體相濃度區域之間,會出現中間過渡區域,在此區域內各物種的濃度等于III相中各分子的體相濃度。這表明,計算得到的I-II相界面實際為I-III-II的雙層界面,而I-II相之間不會發生直接接觸。因此,三相分離體系將傾向于形成稀相-次濃度凝聚相-高濃度凝聚相的核-殼嵌套型穩定結構(圖3)。進一步分析表明這一現象與界面處的靜電關聯和聚合物構象熵相關。此外,給體系加入鹽離子后,靜電屏蔽效應會使兩凝聚相略有溶解,但鹽離子并不改變三相分離的凝聚相多層結構。
圖2.I-II相界面處的物種濃度分布曲線與I-III相界面和II-III相界面的濃度分布曲線對比。藍色實線為I-II相界面的濃度分布曲線,左側為I相,右側為II相;紅色點線I-III相界面的濃度分布曲線,左側為I相,右側為III相;黃色虛線為II-III相界面的濃度分布曲線,左側為III相,右側為II相。
圖3.三相分離體系的核-殼結構。具有較高電荷密度的聚合物形成的凝聚相構成核,較低電荷密度的聚陽離子和其復合的聚陰離子包裹在殼外層。
總結/展望
本文從理論層面研究了多組分聚電解質體系發生多相分離的界面性質,預測了帶電量不對稱驅動的三相分離體系中核-殼結構的形成,并表明該結構在一定濃度的鹽溶液中具有穩定性。該工作對于理解生命體系中液-液相分離所導致多級結構的形成機制具有重要意義,同時為具有嵌套型結構凝聚物的設計與功能調控提供了理論基礎。





