合作客戶/
拜耳公司 |
同濟大學 |
聯合大學 |
美國保潔 |
美國強生 |
瑞士羅氏 |
相關新聞Info
-
> 藍黑墨水生產原料、配方和制作方法。
> 利用超微量天平制備微孔淀粉處理含Cu(II)離子染料廢水
> 超親水超疏油復合網膜的制備及其油水分離性能研究
> Sb合金元素對鋅液與X80鋼表面張力、潤濕性及界面反應的影響——結果與分析
> LB 膜分析儀——?簡單Langmuir-Schaefer法制備蛋白質納米孔膜
> 基于懸滴法測量硅油黏滯液體的表面張力系數——實驗原理
> 多頻超聲波技術&人工神經網絡構建變壓器油界面張力預測模型(一)
> 烷基二苯醚/烷基苯混合磺酸鹽靜態表面張力、金屬腐蝕性及凈洗力測定(二)
> 研究發現:水解聚丙烯酰胺HPAM降低油水界面張力能力極其有限(一)
> 量化改進差分毛細管法測試高溫液態瀝青表面張力精度(上)
推薦新聞Info
-
> 面向高效環保滅火劑的界面張力最小化:短鏈氟碳復配體系的設計與解析(三)
> 面向高效環保滅火劑的界面張力最小化:短鏈氟碳復配體系的設計與解析(二)
> 面向高效環保滅火劑的界面張力最小化:短鏈氟碳復配體系的設計與解析(一)
> 基于連續表面張力模型微觀層面研究凝結顆粒動力學變化規律及能量耗散的影響(四)
> 基于連續表面張力模型微觀層面研究凝結顆粒動力學變化規律及能量耗散的影響(三)
> 基于連續表面張力模型微觀層面研究凝結顆粒動力學變化規律及能量耗散的影響(二)
> 基于連續表面張力模型微觀層面研究凝結顆粒動力學變化規律及能量耗散的影響(一)
> 基于表面張力、Walker沉降等研究3種表面活性劑對低階煤(LRC)潤濕作用的差異(三)
> 基于表面張力、Walker沉降等研究3種表面活性劑對低階煤(LRC)潤濕作用的差異(二)
> 基于表面張力、Walker沉降等研究3種表面活性劑對低階煤(LRC)潤濕作用的差異(一)
各種測量ILs汽化焓對比:表面張力法、熱重法、簡單相加法、 基團貢獻法……(一)
來源:化工學報 瀏覽 1622 次 發布時間:2024-08-16
離子液體(ionic liquids,ILs)是由陰陽離子組成的低溫熔融鹽,熔點一般低于100℃,熔點低于室溫的離子液體叫做室溫離子液體(room temperature ionic liquids,RTILs)。ILs的蒸氣壓極低、難以揮發[1]、導電能力強[2]、不可燃[3]、黏度高、性質穩定[4],是良好的催化劑[5-8]、溶劑[9-11]、潤滑劑[12-15]、電解質[16-19]、吸附劑[20-25]等,具有很好的工業前景。
由于ILs多樣化的性質和可設計的特性,人們可以通過調控其陰陽離子的結構來調節其性質,設計出功能化的ILs,以達到自己的目的,因此ILs也被稱為“可設計的溶劑”,除此之外,ILs還被稱為“室溫熔融鹽”、“流動的鹽”等[26-27]。
早在1914年,Walden[28]為得到在室溫下呈液態的熔融鹽,發現[EtNH3][NO3]的熔點為12°C,這也是第一種質子型ILs。1951年,Hurley等[29]將1-烷基吡啶鹵化物與無機鹽(例如金屬鹵化物)混合,發現了1-乙基溴化吡啶氯化鋁(摩爾比為2∶1的混合物[C2py][Br-AlCl3])在室溫下為液態,還為該系統下的低共熔物創建了相圖。1978年,Osteryoung等[30]發表了關于1-丁基吡啶氯化物-氯化鋁混合物(BPC-AlCl3)的文章,這種物質是對Hurley等[29]合成的氯化物-溴化物ILs體系的改進。在這之后,人們又發現了許多不同結構的ILs,了解了它們多樣的性質,人們嘗試將ILs應用在各種領域,并且取得了較好的成果。ILs逐漸引起了人們的濃厚興趣,人們對ILs的性質進行了深入的研究[31]。
ILs的熱力學性質中,汽化焓是重要的熱力學量,它可以衡量物質汽化的難易程度,幫助構建精確的分子模型,深入了解ILs的性質,開發新型ILs合成技術和路線,拓展ILs在工業上的應用。人們曾經認為,ILs不產生可測量的蒸氣壓,因此不能被蒸餾,也無法獲得它們的汽化焓[32-34],它們會在高溫下分解,如[C4mim][PF6]會在T>470 K的真空中分解[35],這嚴重影響了人們對ILs行為和性質的研究。
近年來,人們發現ILs可以汽化,并逐漸提出了不少方法來測量它們的摩爾汽化焓。鑒于目前還缺少對ILs汽化焓測量方法的系統性整理,本文回顧了以往的相關工作,總結了測定ILs汽化焓的不同方法,以期為今后深入研究ILs提供參考。
1實驗測定方法
1.1直接測量法
1.1.1 Knudsen法(Knudsen method)2005年,Rebelo等[36]證明了1-正丁基-3-甲基咪唑雙(三氟甲磺?;?酰胺[C4mim][Tf2N]可以蒸發而不會分解。
在此基礎上,Kabo等[37]在2005年通過實驗測得了[C4mim][Tf2N]的蒸氣壓,他們使用了Knudsen法[38-39],得到了在溫度范圍458~517 K內ILs蒸氣壓的溫度依賴性。
Knudsen方法適用于高沸點物質蒸氣壓的測定。人們發現,物質在恒溫過程中的質量損失取決于溫度、膜的參數、蒸氣壓和化合物的性質。Knudsen方法中計算蒸氣壓的公式為
式中,Δm是經過一段時間τ后的質量損失;S是孔的面積;k是透射系數;M是蒸氣的摩爾質量;S'是液體的表面積(假定等于電池的橫截面積);α是汽化系數,通常情況下,液體的α=1。
得到蒸氣壓之后,通過Clapeyron-Clausius方程計算得到[C4mim][Tf2N]在487 K的摩爾汽化焓為ΔvapH487=(120±5)kJ·mol-1[37]。
2006年,Kabo等[40]發現[Cnmin][Tf2N]系列ILs的熱穩定性和揮發性之間存在著平衡,這種平衡能夠給出足夠的溫度區間來測量它們的蒸氣壓,從而得出它們的汽化焓數據。因此他們用Knudsen法測出[Cnmim][Tf2N]的蒸氣壓,通過IR光譜證明ILs在測量過程中沒有分解,通過蒸氣壓計算得到了樣品的汽化焓。這個工作開創了測量ILs汽化焓的先河,后人開發的測量方法都受其影響。
1.1.2真空汽化滴微量量熱法(vacuumvaporization drop microcalorimetric method,VVDM)
早在1975年,Adedeji等[41]通過在高溫下熱分解和量熱法測量了一些芳烴三羰基鉻化合物形成的標準焓的值,并且用微熱量真空升華技術(microcalorimetric vacuum sublimation technique)測定了有機化合物的升華焓ΔHsub(298 K)。
而2004年,Santos等[42]構建和測試了一種新的通過滴落法(drop method)測量升華焓的系統,并將Tian-Calvet型熱通量熱量表用于確定升華焓。
2007年,Santos等[43]參考了Kabo等[40]的工作,選取了熱力學性質穩定的[Cnmim][Tf2N](2≤n≤8)作為樣品,參考前人的工作,用真空汽化滴微量量熱法來測量ILs的汽化焓。將10 mg的ILs插入一端密封的薄玻璃毛細管中(每個為25~30 mg),在298.15 K時將它們加入熱量計的熱區,該熱量區保持577.8 K。當熱流信號達到熱流峰值的5%左右時,說明在熱區達到了熱平衡,通過真空蒸發將液體從熱區完全除去。而該過程的總焓變可以通過進入量熱儀的熱流的時間積分來測量。總共分為兩個吸熱過程:一是樣品從初始溫度加熱到熱區溫度產生的焓變,二是樣品在特定的熱區溫度下汽化產生的焓變,而后者就是ILs在特定溫度下的汽化焓。
1.1.3質譜法(mass spectrometry method,MS)
2007年,Armstrong等[44]展示了使用質譜技術對ILs蒸氣的研究,他們確定了蒸氣的性質、液體的汽化熱,并推導了將汽化熱與ILs的摩爾體積關聯的靜電模型。他們將ILs薄膜在程序升溫脫附(temperature programmed desorption,TPD)中進行熱蒸發,通過視線質譜(line-of-sight mass spectrometry,LOSMS)分析蒸氣。在液膜蒸發期間,通過LOSMS觀測到的表面內離子對的數量保持恒定,因為液面不斷從大部分液膜中補充,可以視作零級反應,從而計算解吸過程的活化能。而當蒸發在真空中發生時,膨脹的氣體不起作用,所以活化能就等于蒸發的內能。
綜合考慮庫侖力和范德華作用力,經過一系列復雜的推導,得到了[Cnmim][Tf2N]汽化焓ΔvapH298的計算公式
式中,ΔUC,0.85(Vm,n)是摩爾體積為Vm,n時的庫侖能;Vm(HCn)和ΔvapH298(HCn)分別為直鏈烴CnH2n+2的摩爾體積和汽化熱;Vm,n為[Cnmim][Tf2N]的摩爾體積。
這些數據與Kabo等[40]使用Knudsen滲出法獲得的數據非常一致,但低于Santos等[43]使用微量熱法測量的蒸發熱??偠灾麄冋J為離子液體以離子對的形式蒸發,而汽化熱主要取決于液相和氣相離子對之間的庫侖相互作用。
2009年,Deyko等[45]用這種方法測定了更多物質的汽化焓,包括四個咪唑[Cnmim]+、五個吡咯烷[CnPyrr]+、兩個吡啶[CnPy]+和[Cn(mim)2]2+為基礎的十二種ILs,這些陽離子與一系列陰離子[BF4]-、[FeCl4]-、[N(CN)2]-、[PF3(C2F5)3]-、[FAP]-、[(CF3SO2)2N]-、[Tf2N]-和[SCN]-配對。他們證明了汽化焓可以分解為三個成分:第一個成分是離子之間的庫侖相互作用ΔU,第二和第三個成分是陰離子和陽離子的范德華貢獻ΔHvdW,A和ΔUvdW,C。
2010年,Lovelock等[46]對這種方法進行了改進,能夠在更低的溫度下測量ILs的蒸氣壓。
1.1.4熱重法(thermogravimetric approach,TGA)
2002年,Chatterjee等[47]使用熱重法測量了羥基苯甲酸衍生物的蒸氣壓曲線,建立了用熱重法測量物質汽化焓的方法。
2008年,Dai等[48]利用TGA法測量了ILs的摩爾汽化焓。他們以陽離子1-正烷基-3-甲基咪唑[Cnmim]+(n=2,3,4,6,8,10)和陰離子雙(三氟甲磺?;?酰胺[Tf2N]-或雙(全氟乙基磺酰基)酰胺[beti]-配對的ILs作為樣品,基于Langmuir公式[49]和Clausius-Clapeyron公式,假設汽化焓與溫度無關[50-51],經過一系列公式推導,得出了失重速率dm/dt、溫度T和摩爾汽化焓ΔvapH的關系式
將ln[(T)1/2(dm/dt)]對1/T作圖,通過直線的斜率求出ILs的汽化焓ΔvapH。
這種方法所需設備常見、操作過程簡便、具有廣闊的應用潛力[48]。2012年,Verevkin等[52]也提出了類似的TGA法測量ILs的汽化焓。
1.1.5直接紫外光譜法(direct UV-spectroscopic measurement,UV)
ILs的超低的蒸氣壓使得難以進行ILs蒸氣的直接光譜測量。ILs蒸氣的電子光譜數據的缺失極大地妨礙了人們對ILs獨特分子結構的基本理解。先前已經報道了測量高溫蒸氣的紫外可見光譜的方法:主要是通過Cary14掃描分光光度計在類似蒸餾的環境中來測量樣品氣相的紫外可見吸收光譜[50]。2010年,Wang等[53]測量了八種ILs蒸氣的紫外光譜,通過光譜數據計算得到了它們的汽化焓,與其他文獻比較,差別不大。假設ILs蒸氣的摩爾消光系數與溫度無關,并且ILs蒸氣的行為類似于理想氣體,則Clausius-Clapeyron方程可用于關聯紫外吸收強度與測量汽化焓時溫度之間的關系
式中,C為常數;A為紫外線的吸光度;T為溫度;ΔvapH為汽化焓。
將ln(AT)對1/T作圖,回歸線性方程,從斜率可以得出ILs的汽化焓數據。
這種直接的紫外光譜方法可以原位對ILs蒸氣進行表征,并具有簡單、方便和高效的優點。在這項工作中開發的光譜方法可以用作為探測氣態ILs形態的特殊工具[53]。
1.1.6石英晶體微量天平法(quartz crystal microbalance method,QCM)
2011年,Verevkin等[54]使用新構建的石英晶體微量天平(QCM)真空裝置開發了一種測定極低揮發性ILs汽化焓的新方法。眾所周知,因為在石英晶體上沉積的固體厚度與共振頻率之間存在的相關性[55-58],QCM可以成為測量固體沉積物的高靈敏度的質量傳感器[59-61]。但由于液體膜厚度和頻率非線性相關,將它用于測量液體較為困難。一般來說,需要知道液體沉積物在實驗條件下的密度和黏度,才能正確確定石英晶體上的薄膜質量[62-64]。
QCM提供了一種測量正在蒸發的ILs的質量損失隨時間變化的方法。
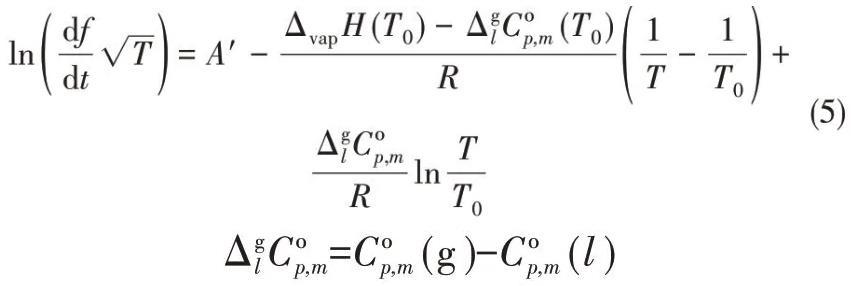
Verevkin等[54]開發了評估程序的物理基礎,并使用1-乙基-3-甲基咪唑雙(三氟甲磺酰基)酰亞胺[C2mim][Tf2N]進行測量,從而將蒸發焓的測量范圍降低到363 K。和文獻中已有的數據相比較,具有一致性。這項工作中開發的方法也為得到ILs的汽化焓開辟了一條新途徑。經過一系列公式推導,構建了ILs的摩爾汽化焓、頻率損耗率df/dt和溫度的關系
QCM的靈敏度很高,與其他常規技術相比,可以將汽化研究的平均溫度降低約100 K。這種方法也為得到ILs的汽化焓的可靠值開辟了一條新途徑[54]。
1.1.7差示掃描量熱法(differential scanning calorimetry method,DSC)
2013年,Verevkin等[65]用差示掃描量熱法測定了吡啶和吡咯烷基ILs合成的反應焓和ILs的汽化焓。差示掃描量熱法(DSC法)廣泛用于化學反應的動力學和熱力學研究,他們在之前的工作中報道了差示掃描量熱法可以作為測量ILs熱力學性質的合適的實驗工具,能夠間接得到汽化焓[66-67]。
在化學反應過程中出現的DSC峰面積是反應焓的量度。根據Hess定律,反應焓ΔrH定義為產物和反應物的生成焓ΔfH的差值,例如,對于反應Pyridine(liq.)+C4Br(liq.)=[C4Py][Br](liq.),有
式中,實驗值ΔrH(liq.)exp由DSC法在液相中測得;氣相中的反應焓的理論值ΔrH(g)由Gaussian 09軟件計算得到。
DSC法結合實驗方法和計算方法,推導了吡啶類ILs的熱力學量,可以優化ILs的合成技術[65]。
1.2間接測量法——表面張力法(surface tension method)
由于ILs在較低的溫度下就容易分解,因此直到2005年,Rebelo等[36]才在較低的壓力下成功蒸餾了ILs,雖然蒸餾效率較低,蒸餾出的量較少,但是這證明了某些ILs能夠在一定溫度范圍內蒸發而不分解,為測量ILs的蒸發焓提供了基礎。
2006年,Kabo等[40]總結了摩爾體積、表面張力和摩爾汽化焓的關系,得出汽化焓的相關方程
式中,A和B是經驗常數;σ是表面張力;Vm是分子體積;NA是阿伏伽德羅常數。在碳氫化合物中,B=(1.9±1.1)kJ·mol-1;羰基化合物中,B=(8.7±1.8)kJ·mol-1;醇類中,B=(22.6±1.3)kJ·mol-1。他們將此方程應用于ILs上,發現和分子動力學模擬結果較為符合。
用表面張力法估算ILs的汽化焓簡單方便,結果準確,因此得到了人們廣泛的應用:2007年,Tong等[68]用這種方法測得了金屬ILs如[C5mim][InCl4]、[C6mim][InCl4]、[C5mim][GaCl4]、[C4mim][AlCl4]、[C5mim][AlCl4]的汽化焓。
2010年,Tong等[69]用它測得了[C2mim][B(CN)4]體系的汽化焓,并且全面探究了這種ILs的物理化學性質。
2018年,本課題組[70]成功用這種方法測量了金屬螯合型離子液體[Cnmim][Cu(F6-acac)3]的汽化焓。
在表1中列出了不同實驗測量方法得出的[Cnmim][Tf2N]體系的汽化焓數據,通過比較發現298 K時的汽化焓ΔvapH298在110~120 kJ·mol-1附近,高溫下的汽化焓ΔvapHT在130~140 kJ·mol-1附近,而在較高溫度下測定的汽化焓總是高于298 K時測定的汽化焓數據,這符合一般規律。
表1用不同實驗方法測定的離子液體[Cnmim][Tf2N](n=2,4)的汽化焓





